Calling it fun and nerdy, David King, CHP, an ORAU senior health physicist, used to create a new calculation each time he determined which radiation detector works best for which kind of contamination. Then, he had an idea: what if an online calculator tool existed? King thought if there was a way to standardize and simplify the complex steps and mathematics that go into preparing for a radiation survey, it would help countless health physicists who do the same kind of work. King’s concept was to build an application that would guide people during the planning stage of a radiation survey as to what techniques and tools they use.

ORAU’s David King, CHP, created a free app to help health physicists plan a radiation survey.
With more than 30 years of experience as an environmental health physicist, King took his proposal for a new tool to ORISE’s virtual institute. Excited about the potential for this innovative application, the ORISE executive committee decided to fund the development of King’s online tool. Aptly named, it was the birth of the HP Calculator. This product is available as a complimentary app on the ORISE website.
King is one of the instructors in ORAU’s Professional Training Programs (PTP). ORAU has long distinguished itself as a teaching organization and currently offers more than 30 classes a year between in-person and online courses. Of these opportunities, King is often involved in at least a couple each month. In those classes, King offers participants the link to use his HP Calculator at any point they may need it in the future. “I usually direct PTP class participants to this online tool to help them understand more deeply the things we can't cover during the course,” King said.

David King demonstrates a structural survey.
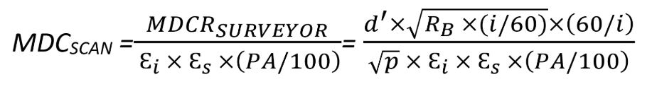
The app user can plug in information about the work area: will it be a soil survey or a structural survey? The process is intuitive as the tool prompts the user to provide answers. The HP Calculator even defines terms, such as the index of sensitivity, if they’re unsure what to input.
“It’s a complicated method, and even experienced health physicists may struggle to understand all the details. The website is laid out to help users understand each step of the calculation, what the terms mean and how everything fits together. We want to teach health physicists how to select the right radiation instrument and provide an effective tool that does not require special software, experience or expertise to operate.”
Equation for surface soils Equation for structural surfaces
ORAU has been a leader in radiation safety and health physics for more than 75 years. The HP Calculator is an innovative, educational and instructional offering that keeps us at the forefront of the industry.